欢迎关注教务处微信公众号:hnu_jwc

  • 学校主页
  • 设为主页
  • 加入收藏
  • 处长信箱
  • 办事指南
学生篇
当前位置: 主页 > 规章制度 > 制度汇编
湖南大学校级试验班入校选拔管理办法
作者:时间:2025-10-16 10:08:18点击次数:

湖南大学校级试验班入校选拔管理办法

湖大教字〔202525

2025515

(经2025319日第6党委常委会会议审议通过)

第一章  总则

第一条 为规范我校拔尖创新人才选拔和管理,加强拔尖创新人才培养体系建设,结合学校实际,制定本办法。

第二条 本办法适用于我校人文科学试验班、理科试验班工科试验班、机器人工程拔尖创新班各类校级试验班选拔对象为我校通过普通高等学校招生全国统一考试录取的学生。

第三条 入校选拔遵循公平择优的基本原则,旨在选拔一批有志向、有兴趣、有天赋的青年学生进入各试验班开展拔尖创新人才培养

第二章  选拔范围与成绩评定

第四条 入校选拔对象为当年招生专业计划中确定的各校级试验班面向的专业(类)一年级新生  

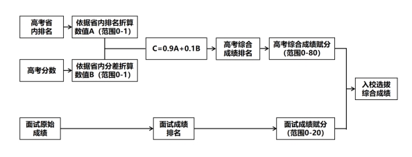
第五条 学生入校后自愿申请,原则上以学生高考录取时的综合成绩和入学后的面试成绩相结合的综合考核方式选拔录取,其中高考综合成绩权重80%,面试成绩权重20%。

第六条 高考综合成绩赋分根据学生高考总分和省内排名赋分。对于高考总分相同者依次按数学、语文、外语分数从高到低进行排序。具体计算办法如下:

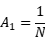
1.当试验班面向专业(类)在某省录取人数大于4人(含4人)时,按下表计算数值A(省内排名系数)。

省内录取人数(N)

数值A(A1)
(省内第1)

数值A(AN)
(省内最后1名,即第N)

数值A(Ax)
(省内排名第X)

4N9

A1=0.1+(10-N)×0.005

AN=0.9-(10-N)×0.005

N=10

A1=0.1

AN=0.9

10<N<MAX

N=MAX

AMAX=1

2.当试验班面向专业(类)在某省录取人数小于4人时,按下表计算数值A。

省内录取人数(N)

数值A(A1)

(省内排名第1)

数值A(A)

(省内排名第2)

数值A(A3)
(省内排名第3)

N=1

0.3

/

/

N=2

0.2

0.6

/

N=3

0.15

0.5

0.85

3.根据高考省内分差,计算数值B(高考分数系数)

数值B=1-(学生高考分数-该省录取最低分数)/(该省录取最高分数-该省录取最低分数)。

对于非专项计划学生,该省录取最高分、最低分为学生所在省录取的文科/理科非专项非单列类型的最高分、最低分。

对于专项计划学生,该省录取最高分、最低分为学生所在省所有录取的文科/理科最高分、最低分。

4.根据数值A和数值B,计算数值C(高考综合成绩系数):C=0.9A+0.1B。

5.比较学生的数值C,得出试验班内高考综合成绩排名。数值C越小,排名越靠前。根据高考综合成绩排名,计算高考综合成绩赋分。高考综合成绩排第1名折合得80分。

高考综合成绩赋分=(总人数-高考综合成绩排名)/(总人数-1)×80。

第七条 面试成绩赋分根据所有参加学校面试的学生排名确定,面试原始成绩满分为100分。根据面试原始成绩确定试验班内排名,并计算面试赋分。面试原始成绩第1名折合得20分。

面试成绩赋分=(总人数-面试原始成绩排名)/(总人数-1)×20。

第八条 试验班选拔综合成绩=高考综合成绩赋分+面试成绩赋分,得出所有学生最终排名。若不同省(市)学生最终成绩相同,则依次根据数学、语文、外语成绩计算“数值A”进行排序。

第九条 预科入校学生根据其参加高考当年成绩及其在所在省份排名确定。

第三章  选拔程序

第十条 试验班所在学院成立由主要领导任组长,学术领军人才、学科带头人、教学名师、教学委员会主任、教学院长等任组员的选拔工作小组,遵循公平、公正、公开、择优的原则,制定试验班入校选拔工作细则。细则应包括选拔工作小组名单、选拔原则及方案等内容,经选拔工作小组审定、报教务处审核后方可实施。选拔工作小组新生入学前公布试验班介绍信息及选拔方案。

第十一条 新生报道后在规定时间内提交申请材料,逾期未申请的视为放弃参与选拔资格。

第十二条 选拔工作小组及时审核申请材料,于申请截止3日内根据高考综合成绩赋分排名,按照拟进入面试人数与录取人数不高于3:1的比例公示初审通过名单;5日内组织选拔考核,对拟录取名单进行公示,公示时间不少于3天。

第十三条 公示无异议后,经教务处复核并报学校分管校领导审定,录取学生编入相应试验班按照对应培养方案教学计划执行。

第四章 附则

第十四条 本办法由教务处负责解释。

第十五条 本办法自公布之日起实施,其他未尽事宜按照学校相关规定执行。



  • Copyright  © 2017-2021  湖南大学教务处    

  • 通讯地址:湖南省长沙市岳麓区麓山南路1号    

  • 邮政编码:410082    

  • 电话(传真):0731-88822818    

  • 电子邮箱:jwc@hnu.edu.cn    

  • 网站技术支持:0731-88822836    

  • 网站备案信息:湘ICP备00000002号